题目内容
已知点P是直角坐标平面内的动点,点P到直线(1)求动点p所在曲线C的方程
(2)直线l过点F且与曲线C交于不同两点A、B,分别过A、B点作直线l1:x=-
【答案】分析:(1)设动点为P(x,y),利用d1-d2=1,可得方程,化简可得结论;
(2)设直线l的方程与抛物线联立,利用韦达定理及向量的数量积,可得结论.
解答:(1)解:设动点为P(x,y),(1分)
依据题意,有
,化简得y2=2px. (4分)
因此,动点P所在曲线C的方程是:y2=2px. …(6分)
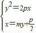
(2)证明:由题意可知,当过点F的直线l的斜率为0时,不合题意,故可设直线l:x=my+
. (8分)
联立方程组
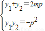
,可化为y2-2mpy-p2=0,
则点A(x1,y1)、B(x2,y2)的坐标满足
. (10分)
又AM⊥l1、BN⊥l1,可得点
、
.
于是,
,
,
因此
. (12分)
点评:本题考查轨迹方程的求法及直线与椭圆的相关知识,考查直线与圆锥曲线的综合应用能力,属于中档题.
(2)设直线l的方程与抛物线联立,利用韦达定理及向量的数量积,可得结论.
解答:(1)解:设动点为P(x,y),(1分)
依据题意,有
因此,动点P所在曲线C的方程是:y2=2px. …(6分)
(2)证明:由题意可知,当过点F的直线l的斜率为0时,不合题意,故可设直线l:x=my+
联立方程组
则点A(x1,y1)、B(x2,y2)的坐标满足
又AM⊥l1、BN⊥l1,可得点
于是,
因此
点评:本题考查轨迹方程的求法及直线与椭圆的相关知识,考查直线与圆锥曲线的综合应用能力,属于中档题.
练习册系列答案
相关题目