题目内容
已知数列{an}的前n项和A.n
B.2n
C.2n+1
D.n+1
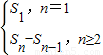
【答案】分析:由已知中数列{an}的前n项和
,an=
,由此可知数列{an}的通项公式an.
解答:解:a1=S1=1+1=2,
an=Sn-Sn-1=(n2+n)-[(n-1)2+(n-1)]=2n.
当n=1时,2n=2=a1,
∴an=2n.
故选B
点评:本题主要考查了利用数列的递推公式an=Sn-Sn-1求解数列的通项公式,属于基础题.
解答:解:a1=S1=1+1=2,
an=Sn-Sn-1=(n2+n)-[(n-1)2+(n-1)]=2n.
当n=1时,2n=2=a1,
∴an=2n.
故选B
点评:本题主要考查了利用数列的递推公式an=Sn-Sn-1求解数列的通项公式,属于基础题.
练习册系列答案
相关题目
已知数列{an}的前n项和Sn=an2+bn(a、b∈R),且S25=100,则a12+a14等于( )
| A、16 | B、8 | C、4 | D、不确定 |