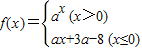
题目内容
已知函数
【答案】分析:由题意可得 a>1且 a≥3a-8,由此求得实数a的取值范围.
解答:解:∵函数
是(-∞,+∞)上的增函数,∴a>1且 a≥3a-8,
解得 1<a≤3,故实数a的取值范围是(1,3],
故答案为 (1,3].
点评:本题主要考查指数函数的单调性的应用,得到 a>1且 a≥3a-8,是解题的关键,属于中档题.
解答:解:∵函数
解得 1<a≤3,故实数a的取值范围是(1,3],
故答案为 (1,3].
点评:本题主要考查指数函数的单调性的应用,得到 a>1且 a≥3a-8,是解题的关键,属于中档题.
练习册系列答案
相关题目