题目内容
已知sin(A+
)=
,A∈(
,
),
(Ⅰ)求cosA的值;
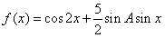
(Ⅱ)求函数f(x)=cos2x+
sinAsinx的值域.
(Ⅰ)求cosA的值;
(Ⅱ)求函数f(x)=cos2x+
解:(Ⅰ)因为
,且
,
所以
,
,
因为
,
所以
.
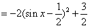
(Ⅱ)由(Ⅰ)可得
,
所以

,x∈R,
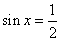
因为sinx∈[-1,1],
所以,当
时,f(x)取最大值
;
当sinx=-1时,f(x)取最小值-3,
所以函数f(x)的值域为
.
所以
因为
所以
(Ⅱ)由(Ⅰ)可得
所以
因为sinx∈[-1,1],
所以,当
当sinx=-1时,f(x)取最小值-3,
所以函数f(x)的值域为
练习册系列答案
相关题目
已知sin(π+a)=
且a是第三象限的角,则cos(2π-a)的值是( )
| 3 |
| 5 |
A、-
| ||
B、
| ||
C、±
| ||
D、
|