题目内容

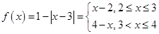
定义在上的函数满足:①为正常数);②当时,.若函数的所有极大值点均在同一条直线上,则_____________.

 

【答案】

.

【解析】

试题分析:当时,,故函数上单调递增,在上单调递增,故函数处取得极大值,当时,则,此时,此时,函数处取得极大值,对任意,当时,函数处取得极大值,故函数的所有极大值点为,由于这些极大值点均在同一直线上,则直线的斜率为定值,即为定值,故,即.

考点:1.函数的极值;2.直线的斜率

 

练习册系列答案
相关题目

违法和不良信息举报电话:027-86699610 举报邮箱:58377363@163.com

精英家教网