题目内容
已知函数f(x)=ax+x2-xlna(a>0,a≠1).(Ⅰ)当a>1时,求证:函数f(x)在(0,+∞)上单调递增;
(Ⅱ)若函数y=|f(x)-t|-1有三个零点,求t的值;
(Ⅲ)若存在x1,x2∈[-1,1],使得|f(x1)-f(x2)|≥e-1,试求a的取值范围.
【答案】分析:(Ⅰ)证明a>1时函数的导数大于0.
(Ⅱ)先判断函数f(x)的极小值,再由y=|f(x)-t|-1有三个零点,所以方程f(x)=t±1有三个根,根据t-1应是f(x)的极小值,解出t.
(Ⅲ)f(x)的最大值减去f(x)的最小值大于或等于e-1,由单调性知,f(x)的最大值是f(1)
或f(-1),最小值f(0)=1,由f(1)-f(-1)的单调性,判断f(1)与f(-1)的大小关系,再由
f(x)的最大值减去最小值f(0)大于或等于e-1求出a的取值范围.
解答:解:(Ⅰ)f′(x)=axlna+2x-lna=2x+(ax-1)lna (3分)
由于a>1,故当x∈(0,+∞)时,lna>0,ax-1>0,所以f′(x)>0,
故函数f(x)在(0,+∞)上单调递增 (5分)
(Ⅱ)当a>0,a≠1时,因为f′(0)=0,且f(x)在(0,+∞)上单调递增,
故f′(x)=0有唯一解x=0(7分)
所以x,f′(x),f(x)的变化情况如下表所示:

又函数y=|f(x)-t|-1有三个零点,所以方程f(x)=t±1有三个根,
而t+1>t-1,所以t-1=(f(x))min=f(0)=1,解得t=2;(11分)
(Ⅲ)因为存在x1,x2∈[-1,1],使得|f(x1)-f(x2)|≥e-1,
所以当x∈[-1,1]时,|(f(x))max-(f(x))min|
=(f(x))max-(f(x))min≥e-1,(12分)
由(Ⅱ)知,f(x)在[-1,0]上递减,在[0,1]上递增,
所以当x∈[-1,1]时,(f(x))min=f(0)=1,
(f(x))max=max{f(-1),f(1)},
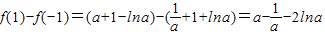
而
,
记
,
因为
(当t=1时取等号),
所以
在t∈(0,+∞)上单调递增,而g(1)=0,
所以当t>1时,g(t)>0;当0<t<1时,g(t)<0,
也就是当a>1时,f(1)>f(-1);
当0<a<1时,f(1)<f(-1)(14分)
①当a>1时,由f(1)-f(0)≥e-1⇒a-lna≥e-1⇒a≥e,
②当0<a<1时,由
,
综上知,所求a的取值范围为
.(16分)
点评:本题考查函数的零点,用导数判断函数单调性,利用导数研究函数极值,属于中档题.
(Ⅱ)先判断函数f(x)的极小值,再由y=|f(x)-t|-1有三个零点,所以方程f(x)=t±1有三个根,根据t-1应是f(x)的极小值,解出t.
(Ⅲ)f(x)的最大值减去f(x)的最小值大于或等于e-1,由单调性知,f(x)的最大值是f(1)
或f(-1),最小值f(0)=1,由f(1)-f(-1)的单调性,判断f(1)与f(-1)的大小关系,再由
f(x)的最大值减去最小值f(0)大于或等于e-1求出a的取值范围.
解答:解:(Ⅰ)f′(x)=axlna+2x-lna=2x+(ax-1)lna (3分)
由于a>1,故当x∈(0,+∞)时,lna>0,ax-1>0,所以f′(x)>0,
故函数f(x)在(0,+∞)上单调递增 (5分)
(Ⅱ)当a>0,a≠1时,因为f′(0)=0,且f(x)在(0,+∞)上单调递增,
故f′(x)=0有唯一解x=0(7分)
所以x,f′(x),f(x)的变化情况如下表所示:
又函数y=|f(x)-t|-1有三个零点,所以方程f(x)=t±1有三个根,
而t+1>t-1,所以t-1=(f(x))min=f(0)=1,解得t=2;(11分)
(Ⅲ)因为存在x1,x2∈[-1,1],使得|f(x1)-f(x2)|≥e-1,
所以当x∈[-1,1]时,|(f(x))max-(f(x))min|
=(f(x))max-(f(x))min≥e-1,(12分)
由(Ⅱ)知,f(x)在[-1,0]上递减,在[0,1]上递增,
所以当x∈[-1,1]时,(f(x))min=f(0)=1,
(f(x))max=max{f(-1),f(1)},
而
记
因为
所以
所以当t>1时,g(t)>0;当0<t<1时,g(t)<0,
也就是当a>1时,f(1)>f(-1);
当0<a<1时,f(1)<f(-1)(14分)
①当a>1时,由f(1)-f(0)≥e-1⇒a-lna≥e-1⇒a≥e,
②当0<a<1时,由
综上知,所求a的取值范围为
点评:本题考查函数的零点,用导数判断函数单调性,利用导数研究函数极值,属于中档题.
练习册系列答案
相关题目