题目内容
等差数列{an}中,A.1
B.
C.
D.
【答案】分析:先根据等差数列的通项公式计算出an=a1+(n-1)d与a2n=a1+(2n-1)d,进而表达出
,再结合题中的条件以及分式的特征可得答案.
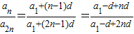
解答:解:由题意可得:
因为数列{an}是等差数列,
所以设数列{an}的通项公式为:an=a1+(n-1)d,则a2n=a1+(2n-1)d,
所以
.
因为
是一个与n无关的常数,
所以a1-d=0或d=0,
所以
可能是1或
.
故选B.
点评:解决此类问题的关键是熟练掌握等差数列的通项公式,以及熟练掌握分式的性质,
解答:解:由题意可得:
因为数列{an}是等差数列,
所以设数列{an}的通项公式为:an=a1+(n-1)d,则a2n=a1+(2n-1)d,
所以
因为
所以a1-d=0或d=0,
所以
故选B.
点评:解决此类问题的关键是熟练掌握等差数列的通项公式,以及熟练掌握分式的性质,
练习册系列答案
相关题目