题目内容
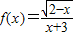
函数
【答案】分析:根据函数解析式的特征可得不等式组
的解集即为所求.
解答:解:∵函数
∴
∴x≤2且x≠-3
∴函数
的定义域为(-∞,-3)∪(-3,2]
点评:本题主要考查了函数定义域的求解,属常考题,较易.解题的关键是根据函数的解析式得出不等式组
的解集即为所求的定义域!
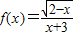
解答:解:∵函数
∴
∴x≤2且x≠-3
∴函数
点评:本题主要考查了函数定义域的求解,属常考题,较易.解题的关键是根据函数的解析式得出不等式组
练习册系列答案
相关题目