题目内容
已知M(-5,0),N(5,0),给出下列直线的方程:①5x-3y=0;②5x-3y-52=0;③x-y-4=0;④4x-3y+15=0,在直线上存在点P满足|MP|=|PN|+6的直线方程是 .
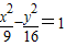
【答案】分析:由M(-5,0),N(5,0),点P满足|MP|=|PN|+6,知点P的轨迹是双曲线:
.把①5x-3y=0代入双曲线方程,得-9y2=400,无解.方程:①5x-3y=0上不存在点P满足|MP|=|PN|+6;把②5x-3y-52=0代入双曲线方程,得9x2-520x+2848=0,△>0,直线方程②5x-3y-52=0上存在点P满足|MP|=|PN|+6.把③x-y-4=0代入双曲线方程,得7x2+8x-288=0,△>0,直线方程③x-y-4=0上存在点P满足|MP|=|PN|+6.④4x-3y+15=0同样可得结论.
解答:解:∵M(-5,0),N(5,0),点P满足|MP|=|PN|+6,
∴点P的轨迹是以M,N为焦点,实轴长2a=6的双曲线,
这个双曲线的方程为:
.
把①5x-3y=0代入双曲线方程,得-9y2=400,无解.
∴方程:①5x-3y=0上不存在点P满足|MP|=|PN|+6;
把②5x-3y-52=0代入双曲线方程,得
,
整理,得9x2-520x+2848=0,
∵△=270400-36×2848=167872>0,
∴直线方程②5x-3y-52=0上存在点P满足|MP|=|PN|+6.
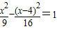
把③x-y-4=0代入双曲线方程,得
,
整理,得7x2+8x-288=0,
∵△=64+28×288=8128>0,
∴直线方程③x-y-4=0上存在点P满足|MP|=|PN|+6.
同样地,④在直线4x-3y+15=0上不存在点P满足|MP|=|PN|+6.
故答案为:②③.
点评:本题主要考查直线与圆锥曲线的综合应用能力,综合性强,是高考的重点,易错点是圆锥曲线的知识体系不牢固.本题具体涉及到轨迹方程的求法及直线与双曲线的相关知识,解题时要注意合理地进行等价转化.
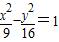
解答:解:∵M(-5,0),N(5,0),点P满足|MP|=|PN|+6,
∴点P的轨迹是以M,N为焦点,实轴长2a=6的双曲线,
这个双曲线的方程为:
把①5x-3y=0代入双曲线方程,得-9y2=400,无解.
∴方程:①5x-3y=0上不存在点P满足|MP|=|PN|+6;
把②5x-3y-52=0代入双曲线方程,得
整理,得9x2-520x+2848=0,
∵△=270400-36×2848=167872>0,
∴直线方程②5x-3y-52=0上存在点P满足|MP|=|PN|+6.
把③x-y-4=0代入双曲线方程,得
整理,得7x2+8x-288=0,
∵△=64+28×288=8128>0,
∴直线方程③x-y-4=0上存在点P满足|MP|=|PN|+6.
同样地,④在直线4x-3y+15=0上不存在点P满足|MP|=|PN|+6.
故答案为:②③.
点评:本题主要考查直线与圆锥曲线的综合应用能力,综合性强,是高考的重点,易错点是圆锥曲线的知识体系不牢固.本题具体涉及到轨迹方程的求法及直线与双曲线的相关知识,解题时要注意合理地进行等价转化.
练习册系列答案
相关题目