题目内容
已知a>0,b>0,且2a+b=4,则
【答案】分析:把ab写成
,利用基本不等式求出ab的最大值,取倒数则可求得
的最小值.
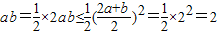
解答:解:因为a>0,b>0,所以
,
所以
.
故答案为
.
点评:本题考查了基本不等式,考查了转化思想,解答本题的关键是把ab转化成能够运用基本不等式求最值得形式,利用基本不等式求最值要保证“一正、二定、三相等”.
解答:解:因为a>0,b>0,所以
所以
故答案为
点评:本题考查了基本不等式,考查了转化思想,解答本题的关键是把ab转化成能够运用基本不等式求最值得形式,利用基本不等式求最值要保证“一正、二定、三相等”.
练习册系列答案
相关题目