题目内容

在不考虑空气阻力的条件下,火箭的最大速度v(m/s)和燃料的质量M(kg)、火箭(除燃料外)的质量m(kg)的关系v=2000ln(1+),当燃料质量是火箭质量的多少倍时,火箭的最大速度可达12km/s?
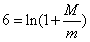
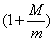
解:由12000=2000ln,即
利用计算器算得
即当燃料质量约是火箭质量的402倍时,火箭的最大速度可达12km/s。
练习册系列答案
相关题目

违法和不良信息举报电话:027-86699610 举报邮箱:58377363@163.com

精英家教网