题目内容
已知函数f(x)=(Ⅰ)若f(x)=0,且
(Ⅱ)求函数f(x)的最大值和最小值.
【答案】分析:(Ⅰ)由倍角公式和两角差的正弦公式化简解析式,由f(x)=0得
,再由x的范围求出
,根据特殊角的三角函数值求出x;
(Ⅱ)把
作为一个整体,根据正弦函数的最值,求出函数最值.
解答:解:(Ⅰ)由题意得,f(x)=
=
=
,
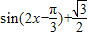
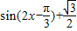
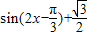
由f(x)=0得,
=0,
即
,
∵
,∴
,
∴
=
或
,解得x=
或π;
(Ⅱ)由(I)知,f(x)=
,
当
时,函数取到最大值是:1+
,
当
时,函数取到最小值是:-1+
.
点评:本题考查了倍角公式和两角差的正弦公式,特殊角的三角函数值,以及正弦函数的最值应用和整体思想.
(Ⅱ)把
解答:解:(Ⅰ)由题意得,f(x)=
=
由f(x)=0得,
即
∵
∴
(Ⅱ)由(I)知,f(x)=
当
当
点评:本题考查了倍角公式和两角差的正弦公式,特殊角的三角函数值,以及正弦函数的最值应用和整体思想.
练习册系列答案
相关题目
| π |
| 2 |
A、f(x)=2sin(πx+
| ||
B、f(x)=2sin(2πx+
| ||
C、f(x)=2sin(πx+
| ||
D、f(x)=2sin(2πx+
|