题目内容
数列{an}的前n项和为Sn,且Sn=n(n+1)(n∈N*).
(Ⅰ)求数列{an}的通项公式;
(Ⅱ)令cn=
(n∈N*),求数列{cn}的前n项和Tn.
(Ⅰ)求数列{an}的通项公式;
(Ⅱ)令cn=
解:(Ⅰ)当n=1时,a1=S1=2,
当n≥2时,an=Sn﹣Sn﹣1=n(n+1)﹣(n﹣1)n=2n,知a1=2满足该式
∴数列{an}的通项公式为an=2n
(Ⅱ)cn=n(3n+1)=n·3n+n,
∴Tn=c1+c2+c3+…+cn=(1×3+2×32+3×33+…+n×3n)+(1+2+…+n)
令Hn=1×3+2×32+3×33+…+n×3n,①
则3Hn=1×32+2×33+3×34+…+n×3n+1②
①﹣②得,﹣2Hn=3+32+33+…+3n﹣n×3n+1=
﹣n×3n+1
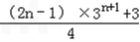
∴Hn=
,
∴数列{cn}的前n项和Tn=
+
当n≥2时,an=Sn﹣Sn﹣1=n(n+1)﹣(n﹣1)n=2n,知a1=2满足该式
∴数列{an}的通项公式为an=2n
(Ⅱ)cn=n(3n+1)=n·3n+n,
∴Tn=c1+c2+c3+…+cn=(1×3+2×32+3×33+…+n×3n)+(1+2+…+n)
令Hn=1×3+2×32+3×33+…+n×3n,①
则3Hn=1×32+2×33+3×34+…+n×3n+1②
①﹣②得,﹣2Hn=3+32+33+…+3n﹣n×3n+1=
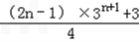
∴Hn=
∴数列{cn}的前n项和Tn=
练习册系列答案
相关题目