题目内容
已知椭圆C的离心率为(1)求椭圆C的标准方程;
(2)设动点P满足:
【答案】分析:(1)设出椭圆的标准方程,利用椭圆C的离心率为
,一条准线方程为
,建立方程组,求得几何量,即可求椭圆C的标准方程;
(2)利用
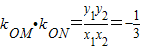
,直线OM与ON的斜率之积为
,确定P的轨迹方程,即可求得结论.
解答:解:(1)设椭圆的标准方程为:
(a>b>0)
∵椭圆C的离心率为
,一条准线方程为
∴
,∴a=
,c=
,∴b=1
∴椭圆C的标准方程为
; ….(4分)
(2)设P(x,y),M(x1,y1),N(x2,y2),则由
得x=x1+x2,y=y1+y2…(6分)
因为点M,N在椭圆
上,即x2+3y2=3,所以
,
…(8分)
故
=
=6+2(x1x2+3y1y2)…(10分)
设分别为直线OM,ON的斜率,由题设条件知
,因此x1x2+3y1y2=0…(12分)
所以x2+3y2=6,即
….(14分)
所以P点是椭圆
上的点,设该椭圆的左、右焦点为A,B,则由椭圆的定义|PA|+|PB|为定值,又因
,因此两焦点的坐标为A(-2,0),B(2,0). …(16分)
点评:本题考查椭圆的几何性质,考查标准方程,考查向量知识的运用,考查学生分析解决问题的能力,确定椭圆的标准方程是关键.
(2)利用
解答:解:(1)设椭圆的标准方程为:
∵椭圆C的离心率为
∴
∴椭圆C的标准方程为
(2)设P(x,y),M(x1,y1),N(x2,y2),则由
因为点M,N在椭圆
故
设分别为直线OM,ON的斜率,由题设条件知
所以x2+3y2=6,即
所以P点是椭圆
点评:本题考查椭圆的几何性质,考查标准方程,考查向量知识的运用,考查学生分析解决问题的能力,确定椭圆的标准方程是关键.
练习册系列答案
相关题目