题目内容
已知函数(Ⅰ)f(x)的最小正周期;
(Ⅱ)f(x)的单调递增区间;
(Ⅲ)f(x)在
【答案】分析:(1)先将函数化简为:f(x)=
,根据最小正周期的求法即可得到答案.
(2)根据
,可求出答案.
(3)根据
再由三角函数的单调性可的答案.
解答:解:(Ⅰ)因为
=
=
=
,
所以f(x)的最小正周期
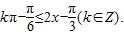
(Ⅱ)因为
,
所以由
,
得
所以f(x)的单调增区间是
(Ⅲ)因为
所以
所以
即f(x)的最小值为1,最大值为4.
点评:本题主要考查三角函数最小正周期的求法、单调区间的求法以及在限定区间上的三角函数的最值的求法.这种题型首先将函数化简为:y=Asin(ωx+φ)的形式后进行解题.
(2)根据
(3)根据
解答:解:(Ⅰ)因为
=
=
所以f(x)的最小正周期
(Ⅱ)因为
所以由
得
所以f(x)的单调增区间是
(Ⅲ)因为
所以
所以
即f(x)的最小值为1,最大值为4.
点评:本题主要考查三角函数最小正周期的求法、单调区间的求法以及在限定区间上的三角函数的最值的求法.这种题型首先将函数化简为:y=Asin(ωx+φ)的形式后进行解题.
练习册系列答案
相关题目