题目内容

已知函数的两个不同的零点为x1,x2

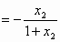
(Ⅰ)证明:(1+x1)(1+x2)=1;

(Ⅱ)证明:x1<-1,x2<-1;

(Ⅲ)若x1,x2满足lg∈[-1,1],试求a的取值范围.

答案:
解析:

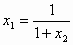
  解:(Ⅰ)由题意知,是关于的一元二次方程的实数根,

  ∴ ∴

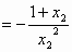
  ∴ ①  3分

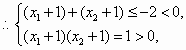
  (Ⅱ)证明:由于关于一元二次方程有两个不等实数根,故有

     4分

    5分

   即得证  6分

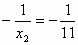
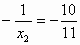
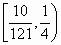
  (Ⅲ)解:由≤10,由①得

   

  ≤10,

    7分

  +()  8分

  时,取最大值为

  时,取最小值  10分

  又因为,故的取值范围是  12分


练习册系列答案
相关题目

违法和不良信息举报电话:027-86699610 举报邮箱:58377363@163.com

精英家教网