题目内容
(本小题满分12分)
已知椭圆
的左右焦点分别为
,短轴两个端点为
,且四边形
是边长为2的正方形。
(1)求椭圆方程;
(2)若
分别是椭圆长轴的左右端点,动点
满足
,连接
,交椭圆于点
.证明:
为定值;
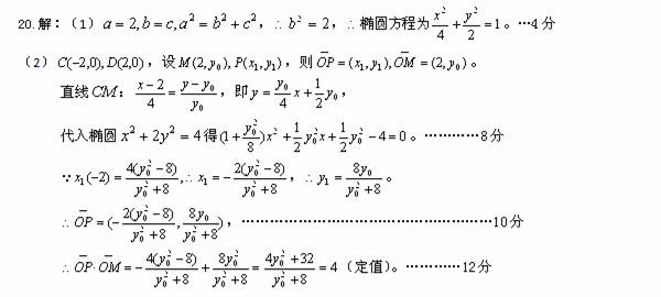
答案
![]()
练习册系列答案
相关题目
题目内容
(本小题满分12分)
已知椭圆
的左右焦点分别为
,短轴两个端点为
,且四边形
是边长为2的正方形。
(1)求椭圆方程;
(2)若
分别是椭圆长轴的左右端点,动点
满足
,连接
,交椭圆于点
.证明:
为定值;
答案
![]()