题目内容
已知函数f(x)=x2,g(x)=alnx,a∈R.(1)若?x≥1,f(x)<g(x),求实数a的取值范围;
(2)证明:“方程f(x)-g(x)=ax(a>0)有唯一解”的充要条件是“a=1”.
【答案】分析:(1)记F(x)=f(x)-g(x),求导函数,分类讨论,确定函数F(x)的最小值,令最小值小于0,即可求得实数a的取值范围;
(2)证明分充分性与必要性进行证明,搞清楚条件与结论.
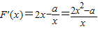
解答:(1)解:记F(x)=f(x)-g(x),则
,x≥1,
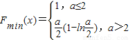
当a≤0时,F'(x)>0恒成立,故F'(x)为[1,+∞)上的单调增函数,所以Fmin(x)=F(1)=1,(2分)
当a>0时,由F'(x)=0得
(负值舍去),
若
,即0<a≤2时,F'(x)≥0恒成立,故F(x)为[1,+∞)上的单调增函数,所以Fmin(x)=F(1)=1,(4分)
若
,即a>2时,F'(x)在
上恒小于0,在
上恒大于0,
所以F(x)在
上的单调递减,在
上的单调递增,
故
,
综上所述,
(6分)
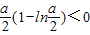
所以
,且a>2,解得a>2e.(8分)
(2)证明:1°充分性:当a=1时,方程x2-lnx=x,即x2-lnx-x=0,记G(x)=x2-lnx-x,x>0
由
得x=1(负值舍去),
所以G(x)在(0,1)上单调递减,在[1,+∞)上单调递增,
故Gmin(x)=g(1)=0,即G(x)=x2-lnx-x在(0,+∞)有唯一解x=1,得证.(11分)
2°必要性:因为方程x2-alnx=ax(a>0)有唯一解,记h(x)=x2-alnx-ax,x>0
由
得
(负值已舍),
所以h(x)在(0,x)上单调递减,在[x,+∞)上单调递增,
故hmin(x)=h(x)=0,且h'(x)=0(13分)
即
②-①×2得2lnx+x-1=0,x>0,记s(x)=2lnx+x-1,x>0,
则函数s(x)为(0,+∞)上的单调增函数,且s(1)=0,所以方程2lnx+x-1=0有唯一解x=1,
将x=1代入②式得a=1,即证.
由1°、2°得,“方程f(x)-g(x)=ax(a>0)有唯一解”的充要条件是“a=1”.(16分)
点评:本题主要考查利用导数研究函数的图象与性质等基础知识,考查灵活运用数形结合、化归与转化、分类与讨论思想进行运算求解、推理论证的综合能力.
(2)证明分充分性与必要性进行证明,搞清楚条件与结论.
解答:(1)解:记F(x)=f(x)-g(x),则
当a≤0时,F'(x)>0恒成立,故F'(x)为[1,+∞)上的单调增函数,所以Fmin(x)=F(1)=1,(2分)
当a>0时,由F'(x)=0得
若
若
所以F(x)在
故
综上所述,
所以
(2)证明:1°充分性:当a=1时,方程x2-lnx=x,即x2-lnx-x=0,记G(x)=x2-lnx-x,x>0
由
所以G(x)在(0,1)上单调递减,在[1,+∞)上单调递增,
故Gmin(x)=g(1)=0,即G(x)=x2-lnx-x在(0,+∞)有唯一解x=1,得证.(11分)
2°必要性:因为方程x2-alnx=ax(a>0)有唯一解,记h(x)=x2-alnx-ax,x>0
由
所以h(x)在(0,x)上单调递减,在[x,+∞)上单调递增,
故hmin(x)=h(x)=0,且h'(x)=0(13分)
即
②-①×2得2lnx+x-1=0,x>0,记s(x)=2lnx+x-1,x>0,
则函数s(x)为(0,+∞)上的单调增函数,且s(1)=0,所以方程2lnx+x-1=0有唯一解x=1,
将x=1代入②式得a=1,即证.
由1°、2°得,“方程f(x)-g(x)=ax(a>0)有唯一解”的充要条件是“a=1”.(16分)
点评:本题主要考查利用导数研究函数的图象与性质等基础知识,考查灵活运用数形结合、化归与转化、分类与讨论思想进行运算求解、推理论证的综合能力.
练习册系列答案
相关题目
| π |
| 2 |
A、f(x)=2sin(πx+
| ||
B、f(x)=2sin(2πx+
| ||
C、f(x)=2sin(πx+
| ||
D、f(x)=2sin(2πx+
|