题目内容
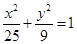
在直角坐标系xOy中,过椭圆
(
为参数)的右焦点,斜率为
的直线方程为
【答案】
![]()
【解析】
试题分析:由
,即
,所以右焦点坐标为(4,0).又斜率为
,故易得所求直线方程为
.即
.
考点:参数方程、直线的点斜式方程
练习册系列答案
相关题目
题目内容
在直角坐标系xOy中,过椭圆
(
为参数)的右焦点,斜率为
的直线方程为
![]()
【解析】
试题分析:由
,即
,所以右焦点坐标为(4,0).又斜率为
,故易得所求直线方程为
.即
.
考点:参数方程、直线的点斜式方程