题目内容
已知数列{an}与{bn}满足
,n∈N*,且a1=2,
(Ⅰ)求a2,a3的值;
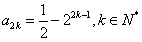
(Ⅱ)设cn=a2n+1-a2n-1,n∈N*,证明{cn}是等比数列;
(Ⅲ)设Sn为{an}的前n项和,证明:
。
(Ⅰ)求a2,a3的值;
(Ⅱ)设cn=a2n+1-a2n-1,n∈N*,证明{cn}是等比数列;
(Ⅲ)设Sn为{an}的前n项和,证明:
(Ⅰ)解:由
,可得
,
又
,
当n=1时,
,由a1=2,可得
,
当n=2时,
,可得
。
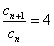
(Ⅱ)证明:对任意n∈N*,
, ①
, ②
②-①,得
,即
,
于是
,
所以{cn}是等比数列。
(Ⅲ)证明:a1=2,由(Ⅱ)知,当k∈N*且k≥2时,

,
故对任意
,
由①得
,
所以
,
因此
,
于是
,
故
,
所以,对任意的n∈N*,



,
∴
。
又
当n=1时,
当n=2时,
(Ⅱ)证明:对任意n∈N*,
②-①,得
于是
所以{cn}是等比数列。
(Ⅲ)证明:a1=2,由(Ⅱ)知,当k∈N*且k≥2时,
故对任意
由①得
所以
因此
于是
故
所以,对任意的n∈N*,
∴
练习册系列答案
相关题目