题目内容
在直角坐标系中,设矩形OPQR的顶点按逆时针顺序依次为O(0,0)、P(1,t)、Q(1﹣2t,2+t)、R(﹣2t,2),其中t∈(0,+∞).
(1)求矩形OPQR在第一象限部分的面积S(t);
(2)确定函数S(t)的单调区间,并加以证明.
(1)求矩形OPQR在第一象限部分的面积S(t);
(2)确定函数S(t)的单调区间,并加以证明.
解:(1)当1﹣2t>0即0<t<
时,0<t<
时,点Q在第一象限,如图(1),
直线RQ的方程为y=t(x+2t)+2,它与y轴的交点T(0,2+2t2),
故△ORT的面积S=
×2t×(2+2t2)=2t×(1+t2)
可得矩形在第一象限内的部分面积为S(t)=2+2t2﹣2t×(1+t2)=2[1﹣t×(1+t+t2)]
当﹣2t+1≤0,即t≥
时,如图(2),点Q在y轴上或第二象限,S(t)为△OPT的面积,
直线PQ的方程为y=﹣
+t+
,
令x=0得y=t+
,故点T的坐标为(0,t+
),
故S(t)=S△OPT=
=
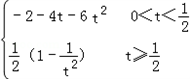
综上知S(t)=
(2)S(t)在区间(0,
)与(
,1)上是减函数,在(1,+∞)是增函数,证明如下
下用导数法证明:由于S'(t)=
验证知当在区间(0,
)与(
,1)上S'(t)<0,在(1,+∞)上S'(t)>0
故得S(t)在区间(0,
)与(
,1)上是减函数,在(1,+∞)是增函数
直线RQ的方程为y=t(x+2t)+2,它与y轴的交点T(0,2+2t2),
故△ORT的面积S=
可得矩形在第一象限内的部分面积为S(t)=2+2t2﹣2t×(1+t2)=2[1﹣t×(1+t+t2)]
当﹣2t+1≤0,即t≥
直线PQ的方程为y=﹣
令x=0得y=t+
故S(t)=S△OPT=
综上知S(t)=
(2)S(t)在区间(0,
下用导数法证明:由于S'(t)=
验证知当在区间(0,
故得S(t)在区间(0,
练习册系列答案
相关题目