题目内容
记等差数列{an}的前n项和为Sn,若a32=a112,且公差d>0,则当Sn取最小值时,n= .
【答案】分析:由题意可得a1=-6d,代入可得Sn=d(
),由二次函数的知识可得答案.
解答:解:由a32=a112可得
=
,
由于公差d>0,解之可得a1=-6d<0,
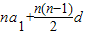
故Sn=
=d(
),
由于d>0,由二次函数的对称轴为n=
可知当n=6或7时,Sn取最小值,
故答案为:6或7
点评:本题考查等差数列的前n项和,涉及二次函数的最值问题,属基础题.
解答:解:由a32=a112可得
由于公差d>0,解之可得a1=-6d<0,
故Sn=
由于d>0,由二次函数的对称轴为n=
可知当n=6或7时,Sn取最小值,
故答案为:6或7
点评:本题考查等差数列的前n项和,涉及二次函数的最值问题,属基础题.
练习册系列答案
相关题目
记等差数列{an}的前n项和为Sn,若a1=
,S4=20,则S6=( )
| 1 |
| 2 |
| A、16 | B、24 | C、36 | D、48 |