题目内容
已知函数y=f(x)的图象经过坐标原点,且f′(x)=2x-1,数列{an}的前n项和Sn=f(n)(n∈N*)(1)求数列{an}的通项公式;
(2)若数列{bn}满足an+log3n=log3bn求数列{bn}的前n项和.
【答案】分析:(1)由导函数得到原函数f(x),因为函数f(x)过原点,把(0,0)代入求出f(x)得到Sn=f(n)推出an即可;
(2)由题中(2)的条件求出bn,设bn的前n项和为Tn,求出即可.
解答:解:(1)由f′(x)=2x-1得:
f(x)=x2-x+b(b∈R)
∵y=f(x)的图象过原点,
∴f(x)=x2-x,
∴Sn=n2-n
∴an=Sn-Sn-1
=n2-n-[(n-1)2-(n-1)]
=2n-2(n≥2)
∵a1=S1=0
所以,数列{an}的通项公式为
an=2n-2(n∈N*)
(2)由an+log3n=log3bn得:
bn=n•32n-2(n∈N*)
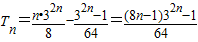
Tn=b1+b2+b3++bn
=3+2•32+3•34++n•32n-2(1)
∴9Tn=3+2•32+3•34++n•32n(2)
(2)-(1)得:
∴
点评:考查学生导数的运用能力,灵活运用等差数列的通项公式以及求和公式.
(2)由题中(2)的条件求出bn,设bn的前n项和为Tn,求出即可.
解答:解:(1)由f′(x)=2x-1得:
f(x)=x2-x+b(b∈R)
∵y=f(x)的图象过原点,
∴f(x)=x2-x,
∴Sn=n2-n
∴an=Sn-Sn-1
=n2-n-[(n-1)2-(n-1)]
=2n-2(n≥2)
∵a1=S1=0
所以,数列{an}的通项公式为
an=2n-2(n∈N*)
(2)由an+log3n=log3bn得:
bn=n•32n-2(n∈N*)
Tn=b1+b2+b3++bn
=3+2•32+3•34++n•32n-2(1)
∴9Tn=3+2•32+3•34++n•32n(2)
(2)-(1)得:
∴
点评:考查学生导数的运用能力,灵活运用等差数列的通项公式以及求和公式.
练习册系列答案
相关题目