题目内容
已知向量a=(cosα,sinα),b=(cosx,sinx),c=(sinx+2sinα,cosx+2cosα),其中0<α<x<π。
(1)若
,求函数f(x)=b·c的最小值及相应x的值;
(2)若a与b的夹角为
,且a⊥c,求tan2α的值。
(1)若
(2)若a与b的夹角为
解:(1)∵ b=(cosx,sinx),c=(sinx+2sinα,cosx+2cosα),

∴f(x)=b·c=cosxsinx+2cosxsinα+sinxcosx+2sinxcosα
=2sinxcosx+
(sinx+cosx)
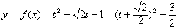
令
则
,且
则
,
所以
,
此时
由于
,故
所以函数f(x)的最小值为
,相应x的值为
。
(2)∵a与b的夹角为
∴

∵
∴
∴
∵
∴
∴
∴
∴
。
∴f(x)=b·c=cosxsinx+2cosxsinα+sinxcosx+2sinxcosα
=2sinxcosx+
令
则
则
所以
此时
由于
所以函数f(x)的最小值为
(2)∵a与b的夹角为
∴
∵
∴
∴
∵
∴
∴
∴
∴
练习册系列答案
相关题目