题目内容

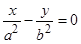
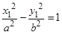
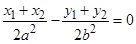
椭圆中有如下结论:椭圆上斜率为1的弦的中点在直线上,类比上述结论得到正确的结论为:双曲线上斜率为1的弦的中点在直线               上.

 

【答案】

【解析】

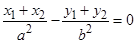
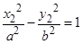
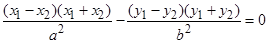
试题分析:根据结构上的类似容易类比得到结论,下面给出证明:设双曲线上斜率为1的弦的两端点,则,且,两式相减得,由,也即,所以弦的中点在直线上.

考点:合情推理和演绎推理.

 

练习册系列答案
相关题目

违法和不良信息举报电话:027-86699610 举报邮箱:58377363@163.com

精英家教网