题目内容
线段AB 的两端A 、B 分别在x 轴、y 轴上滑动,|AB|=5 ,点 M 是AB 上一点,且|AM|=2 ,点M 随线段AB 的运动而变化,求点M 的轨迹方程.
解:设A (x0 ,0) ,B (0 ,y0 ),M(x ,y) .
依题意得
=(x-x0,y)
=(-x0,y0),
由题意可知

即
,
即
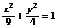
就是点M的轨迹方程.
依题意得
由题意可知
即
即
练习册系列答案
相关题目
连接球面上两点的线段称为球的弦.半径为4的球的两条弦AB、CD的长度分别等于2
、4
,M、N分别为AB、CD的中点,每条弦的两端都在球面上运动,有下列四个命题:
①弦AB、CD可能相交于点M;②弦AB、CD可能相交于点N;③MN的最大值为5;④MN的最小值为1
其中真命题的个数为( )
| 7 |
| 3 |
①弦AB、CD可能相交于点M;②弦AB、CD可能相交于点N;③MN的最大值为5;④MN的最小值为1
其中真命题的个数为( )
| A、1个 | B、2个 | C、3个 | D、4个 |
(1)f(
| 1 |
| 2 |
(2)f(x)是偶函数;
(3)f(x)在其定义域上是增函数;
(4)y=f(x)的图象关于点(
| 1 |
| 2 |
| A、(1)(3)(4) |
| B、(1)(2)(3) |
| C、(1)(2)(4) |
| D、(1)(2)(3)(4) |