题目内容
已知数列
满足:
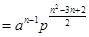
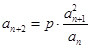
,
,
(其中
为非零常数,
).
(1)判断数列
是不是等比数列?
(2)求
;
(3)当
时,令
,
为数列
的前
项和,求
.
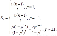
【答案】
(1)数列
是等比数列;(2)
,
;(3)
.
【解析】
试题分析:(1)将数列
的递推式
进行变形得
,从而利用定义得到数列
是等比数列;(2)在(1)的基础上先求出数列
的通项公式,再利用累乘法求数列
的通项公式;(3)在(2)的基础上,将
代入数列
的通项公式,从而求出数列
的通项公式,并根据数列
的通项公式
,对
、
以及
进行三种情况的分类讨论,前两种情况利用等差数列求和即可,在最后一种情况下利用错位相减法求数列
的前
项和
,最后用分段的形式表示数列
的前
项和
.
试题解析:(1)由
,得
.
令
,则
,
.
![]()
,
,
(非零常数),
数列
是等比数列.
(2)
数列
是首项为
,公比为
的等比数列,
![]()
,即
.
当
时,![]()
,
![]()
满足上式,
.
(3)
,
当
时,
.
,
①
②
当
,即
时,①
②得:
,
即
.
而当
时,
,
当
时,
.
综上所述,![]()
考点:1.定义法证明等比数列;2.累乘法求数列通项;3.等差数列求和;4.错位相减法求和
练习册系列答案
相关题目