题目内容
. 已知,分别求,,,然后归纳猜想一般性结论,并证明你的k*s#5^u结论
略
(本题满分16分)已知.
(1)已知,分别求的值;
(2)画出函数的图像,并指出函数的单调区间(不要求证明);
(3)解不等式
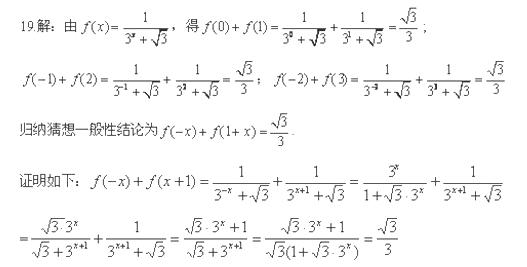
已知,分别求,,,
然后归纳猜想一般性结论,并证明你的结论.
已知,分别求,,,然后归纳猜想一般性结论,并证明你的结论
已知,分别求,,,然后归纳猜想一般性结论,并证明你的结论.