题目内容

上最大值是5,最小值是2,若,在上是单调函数,求m的取值范围.

 

【答案】

m≤2或m≥6.

【解析】

试题分析:通过对二次函数f(x)的对称轴的判断,得出f(x)在[2,3]上是递增的,再根据最大最小值算出的值;g(x)也是二次函数根据对称轴的范围确定[2,4]上的单调性.

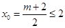
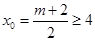
试题解析:解:在[2,3]增,

,对称轴或.

考点:1.二次函数的单调性有对称轴确定.2.函数的最大最小值根据函数的单调性确定.

 

练习册系列答案
相关题目

违法和不良信息举报电话:027-86699610 举报邮箱:58377363@163.com

精英家教网