题目内容
设数列{an}前n项和为Sn,数列{Sn}的前n项和为Tn,满足(1)求a1的值;
(2)求数列{an}的通项公式.
【答案】分析:(1)当n=1时,T1=2S1-1.由T1=S1=a1,所以a1=2a1-1,能求出a1.
(2)当n≥2时,
,所以Sn=2Sn-1+2n-1,Sn+1=2Sn+2n+1,故an+1=2an+2,所以
(n≥2),由此能求出数列{an}的通项公式.
解答:解:(1)当n=1时,T1=2S1-1
因为T1=S1=a1,所以a1=2a1-1,求得a1=1
(2)当n≥2时,

所以Sn=2Sn-1+2n-1①
所以Sn+1=2Sn+2n+1②
②-①得 an+1=2an+2
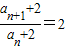
所以an+1+2=2(an+2),即
(n≥2)
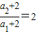
求得a1+2=3,a2+2=6,则
所以{an+2}是以3为首项,2为公比的等比数列
所以
所以
,n∈N*.
点评:本题考查数列的首项和数列的通项公式的求法,解题时要认真审题,注意迭代法的合理运用.
(2)当n≥2时,
解答:解:(1)当n=1时,T1=2S1-1
因为T1=S1=a1,所以a1=2a1-1,求得a1=1
(2)当n≥2时,
所以Sn=2Sn-1+2n-1①
所以Sn+1=2Sn+2n+1②
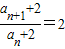
②-①得 an+1=2an+2
所以an+1+2=2(an+2),即
求得a1+2=3,a2+2=6,则
所以{an+2}是以3为首项,2为公比的等比数列
所以
所以
点评:本题考查数列的首项和数列的通项公式的求法,解题时要认真审题,注意迭代法的合理运用.
练习册系列答案
相关题目