题目内容

已知函数

(1)求函数的定义域;

(2)求的值;

 

【答案】

(1)(2)0

【解析】

试题分析:(1)函数要想有意思对数的真数应大于0.(2)由奇函数的定义可判断此函数是奇函数,即,所以所求值为0.

试题解析:(1)由题意得,解得,所以函数的定义域为

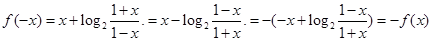
(2)在的定义域为内恒有

,所以时奇函数,且

所以

考点:函数的定义域,奇偶性

 

练习册系列答案
相关题目

违法和不良信息举报电话:027-86699610 举报邮箱:58377363@163.com

精英家教网