题目内容
已知点P是圆x2+y2=16上的一个动点,点A(12,0)是x轴上的一定点,当点P在圆上运动时,线段PA的中点M的轨迹是什么?并判定此轨迹与圆x2+y2=16的位置关系.
【答案】分析:设出点M的坐标和点P的坐标,由中点坐标公式把P的坐标用M的坐标表示,把P的坐标代入圆的方程即可得到M的轨迹;然后利用两圆的圆心距和半径的关系进行分析即可.
解答:解:设点M的坐标为(x,y),点P的坐标为(x,y),
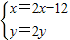
由于点A(12,0),且M是线段PA的中点,所以,
,得
.
因为点P是圆x2+y2=16上的一个动点,所以P的坐标满足方程
.
代入整理得:(x-6)2+y2=4.
所以点M的轨迹为以(6,0)为圆心,2为半径的圆,
因为两圆的圆心距为
,两圆的半径之和为2+4=6,
所以两圆外切.
点评:本题考查了轨迹方程,考查了圆与圆之间的关系,考查了利用代入法求曲线的轨迹方程,是中档题.
解答:解:设点M的坐标为(x,y),点P的坐标为(x,y),
由于点A(12,0),且M是线段PA的中点,所以,
因为点P是圆x2+y2=16上的一个动点,所以P的坐标满足方程
代入整理得:(x-6)2+y2=4.
所以点M的轨迹为以(6,0)为圆心,2为半径的圆,
因为两圆的圆心距为
所以两圆外切.
点评:本题考查了轨迹方程,考查了圆与圆之间的关系,考查了利用代入法求曲线的轨迹方程,是中档题.
练习册系列答案
相关题目