搜索
题目内容
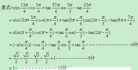
求值:
试题答案
相关练习册答案
解析
练习册系列答案
有效课堂精讲精练系列答案
新课程初中物理同步训练系列答案
单元测评四川教育出版社系列答案
系列答案
锁定100分小学毕业模考卷系列答案
初中学业水平考试历史与社会思想品德精讲精练系列答案
精华讲堂系列答案
同步精练课时作业达标训练系列答案
同步阅读浙江教育出版社系列答案
每时每刻快乐优加作业本系列答案
相关题目
求值
(1)
2
3
×
3
1.5
×
6
12
;
(2)
lg
2
3-lg9+1
(lg
27
+lg8-lg
1000
)
lg0.3•lg1.2
.
化简与求值:
(1)
a
3
b
2
3
a
b
2
(
a
1
4
b
1
2
)
4
•
a
-
1
3
b
1
3
(a>0,b>0)
;
(2)
lo
g
2
7
48
+lo
g
2
12-
1
2
lo
g
2
42-(-1
)
0
.
(1)求值:
(2
1
4
)
1
2
-(2011
)
0
-(3
3
8
)
-
2
3
+(
3
2
)
-2
.(2)求函数
f(x)=
(x+1)
0
|x|-x
的定义域.
求值:sin210°+cos120°+tan225°=
.
求值:
2
log
2
3
+
lo
g
(2+
3
)
(
3
-2)
2
-(
log
2
2
)
2
=
.
关 闭
试题分类
高中
数学
英语
物理
化学
生物
地理
初中
数学
英语
物理
化学
生物
地理
小学
数学
英语
其他
阅读理解答案
已回答习题
未回答习题
题目汇总
试卷汇总
练习册解析答案