题目内容

如图,在直三棱柱ABC-A1B1C1中,点M是A1B的中点,点N是B1C的中点,连接MN

(Ⅰ)证明:MN//平面ABC;

(Ⅱ)若AB=1,AC=AA1=,BC=2,求二面角A—A1C—B的余弦值的大小

 

【答案】

(Ⅰ)详见解析;(Ⅱ)

【解析】

试题分析:(Ⅰ)主要利用线线平行可证线面平行;(Ⅱ)通过作平行线转化到三角形内解角;当然也可建系利用空间向量来解;

试题解析:(Ⅰ)证明:连接AB1

∵四边形A1ABB1是矩形,点M是A1B的中点,

∴点M是AB1的中点;∵点N是B1C的中点,

∴MN//AC,∵MN平面ABC,AC平面ABC,

∴MN//平面ABC        6分

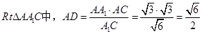
(Ⅱ)解 :(方法一)如图,作,交于点D,

  由条件可知D是中点,连接BD,∵AB=1,AC=AA1=,BC=2,

∴AB2+AC2= BC2,∴AB⊥AC,

∵AA1⊥AB,AA1∩AC=A,∴AB⊥平面

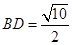
∴AB⊥A1C, ∴A1C⊥平面ABD,∴为二面角A—A1C—B的平面角,在, 

在等腰中,中点,, ∴中,

中,

∴二面角A——B的余弦值是    12分

(方法二) 三棱柱为直三棱柱,

, ∴,∴

如图,建立空间直角坐标系,

则A(0,0,0), B(0,1,0), C(,0,0), A1(0,0,),

如图,可取为平面的法向量,

设平面的法向量为

,

则由

,不妨取m=1,则

可求得     12分

考点:立体几何线平行的证明、二面角的求解,考查学生的空间想象能力和空间向量的使用

 

练习册系列答案
相关题目

违法和不良信息举报电话:027-86699610 举报邮箱:58377363@163.com

精英家教网