题目内容
等比数列{an}中,已知a1=2,a4=16。
(1)求数列{an}的通项公式;
(2)若a3,a5分别为等差数列{bn}的第3项和第5项,试求数列{bn}的通项公式及前n项和Sn。
(1)求数列{an}的通项公式;
(2)若a3,a5分别为等差数列{bn}的第3项和第5项,试求数列{bn}的通项公式及前n项和Sn。
解:(1)设
的公比为q
由已知得
,解得
则an=2·2n-1=2n。
(2)由(1)得
,
,则
,
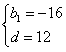
设
的公差为d,
则有
解得
从而
所以数列
的前n项和
。
由已知得
则an=2·2n-1=2n。
(2)由(1)得
设
则有
解得
从而
所以数列
练习册系列答案
相关题目