题目内容
(1)
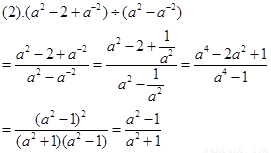
(2)计算![]()
【答案】
(1)
(2)![]()
【解析】
试题分析:(1)通过指数形式转化为对数的形式,让后再运算.(2)通过把除号改写为分数线,再把负指数化为正指数.再运算.
试题解析:
![]()
![]()
考点:1.指数转化为对数形式.2.分式的运算.
练习册系列答案
相关题目
某工厂对某产品的产量与单位成本的资料分析后有如下数据:
(1)试比较甲乙哪个单位的成本比较稳定.
(2)求甲单位成本y与月产量x之间的线性回归方程.(其中已计算得:x1y1+x2y2+…x6y6=1481,结果保留两位小数)
(3)当月产量为12千件时,单位成本是多少?
| 月 份 | 1 | 2 | 3 | 4 | 5 | 6 |
| 产量x千件 | 2 | 3 | 4 | 3 | 4 | 5 |
| 甲单位成本y元/件 | 73 | 72 | 71 | 73 | 69 | 68 |
| 乙单位成本y元/件 | 78 | 74 | 70 | 72 | 66 | 60 |
(2)求甲单位成本y与月产量x之间的线性回归方程.(其中已计算得:x1y1+x2y2+…x6y6=1481,结果保留两位小数)
(3)当月产量为12千件时,单位成本是多少?