题目内容
(08年福建师大附中模拟)(12分)
已知数列满足且
(1)求,的值;
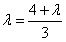
(2)若数列为等差数列,请求出实数;
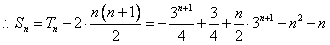
(3)求数列的通项及前项和.
已知数列满足:
(1)求证:数列为等比数列;
(2)求证:数列为递增数列;
(3)若当且仅当的取值范围。
已知数列满足.
(1)求数列的通项公式;
(2)对任意给定的,是否存在()使成等差数列?若存
在,用分别表示和(只要写出一组);若不存在,请说明理由;
(3)证明:存在无穷多个三边成等比数列且互不相似的三角形,其边长为.
已知数列满足a1=1,an+1>an,且(an+1-an)2-2(an+1+an)+1=0
(1)求a2、a3
(2)猜想的表达式,并用数学归纳法证明你的结论
(14分)已知数列满足,
(1)求。(2)由(1)猜想的通项公式。(3)用数学归纳法证明(2)的结果。[来源:学#科#网]