题目内容
在△ABC中,内角A,B,C所对的边分别为a,b,c,已知sinB(tanA+tanC)=tanAtanC.(Ⅰ)求证:a,b,c成等比数列;
(Ⅱ)若a=1,c=2,求△ABC的面积S.
【答案】分析:(I)由已知,利用三角函数的切化弦的原则可得,sinB(sinAcosC+sinCcosA)=sinAsinC,利用两角和的正弦公式及三角形的内角和公式代入可得sin2B=sinAsinC,由正弦定理可证
(II)由已知结合余弦定理可求cosB,利用同角平方关系可求sinB,代入三角形的面积公式S=
可求.
解答:(I)证明:∵sinB(tanA+tanC)=tanAtanC
∴sinB(
)=
∴sinB•
=
∴sinB(sinAcosC+sinCcosA)=sinAsinc
∴sinBsin(A+C)=sinAsinC,
∵A+B+C=π
∴sin(A+C)=sinB
即sin2B=sinAsinC,
由正弦定理可得:b2=ac,
所以a,b,c成等比数列.
(II)若a=1,c=2,则b2=ac=2,
∴
,
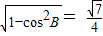
∵0<B<π
∴sinB=
∴△ABC的面积
.
点评:本题主要考查了三角形的切化弦及两角和的正弦公式、三角形的内角和定理的应用及余弦定理和三角形的面积公式的综合应用.
(II)由已知结合余弦定理可求cosB,利用同角平方关系可求sinB,代入三角形的面积公式S=
解答:(I)证明:∵sinB(tanA+tanC)=tanAtanC
∴sinB(
∴sinB•
∴sinB(sinAcosC+sinCcosA)=sinAsinc
∴sinBsin(A+C)=sinAsinC,
∵A+B+C=π
∴sin(A+C)=sinB
即sin2B=sinAsinC,
由正弦定理可得:b2=ac,
所以a,b,c成等比数列.
(II)若a=1,c=2,则b2=ac=2,
∴
∵0<B<π
∴sinB=
∴△ABC的面积
点评:本题主要考查了三角形的切化弦及两角和的正弦公式、三角形的内角和定理的应用及余弦定理和三角形的面积公式的综合应用.
练习册系列答案
相关题目