题目内容
已知等差数列{an}的公差不为零,且a3 =5, a1 , a2, a5 成等比数列
(I)求数列{an}的通项公式:
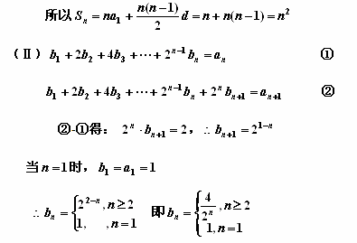
(II)若数列{bn}满足b1+2b2+4b3+…+2n-1bn=an求数列{bn}的通项公式
练习册系列答案
相关题目
题目内容
已知等差数列{an}的公差不为零,且a3 =5, a1 , a2, a5 成等比数列
(I)求数列{an}的通项公式:
(II)若数列{bn}满足b1+2b2+4b3+…+2n-1bn=an求数列{bn}的通项公式