题目内容

已知等差数列满足:.

(1)求的通项公式;

(2)若(),求数列的前n项和.

 

【答案】

(I);(II).

【解析】

试题分析:(I)由题设得:解这个方程组得:,所以的通项公式

(II)由.由于的值不确定,故需要对进行讨论.

 ①当时,则分为两组求和; ② 当时,,得.

试题解析:(I)设的首项为,公差为,则

 由                      2分

 解得,所以的通项公式          5分

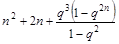
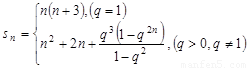
(II)由.             7分

 ①当时,

=    10分

 ② 当时,,得

 所以数列的前n项和    12分

考点:等差数列与等比数列.

 

练习册系列答案
相关题目

违法和不良信息举报电话:027-86699610 举报邮箱:58377363@163.com

精英家教网