题目内容
已知向量(1)求sinθ和cosθ的值
(2)若
【答案】分析:(1)由
得到sinθ=2cosθ,再结合sin2θ+cos2θ=1求出sinθ和cosθ的值;
(2)
,对等式左边用余弦的差角公式展开,得到cosφ=sinφ再有sin2φ+cos2φ=1,及0<φ<
求得cosφ的值
解答:解:(1)∵
,
∴
•
=sinθ-2cosθ=0,即sinθ=2cosθ…(2分)
又∵sin2θ+cos2θ=1,
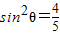
∴4cos2θ+cos2θ=1,即
,
∴
…(4分)
又
,
…(6分)
(2)∵5cos(θ-φ)=5(cosθcosφ+sinθsinφ)=
=
…(8分)
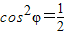
∴cosφ=sinφ,
∴cos2φ=sin2φ=1-cos2φ,
即
…(10分)
又 0<φ<
,
∴
…(12分)
点评:本题考查数量积判断两个平面向量的垂直关系,解题的关键是理解向量垂直的坐标表示公式,以及能熟练利用同角三角函数的基本关系求三角函数值,解本题时要注意隐含条件sin2θ+cos2θ=1的运用,本题考查了变形与计算的能力
(2)
解答:解:(1)∵
∴
又∵sin2θ+cos2θ=1,
∴4cos2θ+cos2θ=1,即
∴
又
(2)∵5cos(θ-φ)=5(cosθcosφ+sinθsinφ)=
∴cosφ=sinφ,
∴cos2φ=sin2φ=1-cos2φ,
即
又 0<φ<
∴
点评:本题考查数量积判断两个平面向量的垂直关系,解题的关键是理解向量垂直的坐标表示公式,以及能熟练利用同角三角函数的基本关系求三角函数值,解本题时要注意隐含条件sin2θ+cos2θ=1的运用,本题考查了变形与计算的能力
练习册系列答案
相关题目