题目内容
在平面直角坐标系中,已知焦距为4的椭圆过F作一条垂直于x轴的直线与椭圆相交于R、S,若线段RS的长为
(1)求椭圆C的方程;
(2)设Q(t,m)是直线x=9上的点,直线QA、QB与椭圆C分别交于点M、N,求证:直线MN必过x轴上的一定点,并求出此定点的坐标.
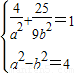
【答案】分析:(1)依题意,椭圆过点
,故
,由此能求出椭圆C的方程.
(2)设Q(9,m),直线QA的方程为y=
,代入椭圆方程,得(80+m2)x2+6x+9m2-720=0,由此入手能够证明直线MN必过x轴上的定点(1,0).
解答:解:
(1)依题意,椭圆过点
,
故
,
解得
.…(3分)
椭圆C的方程为
.…(4分)
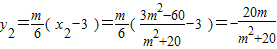
(2)设Q(9,m),直线QA的方程为y=
,…(5分)
代入椭圆方程,得(80+m2)x2+6x+9m2-720=0,…(6分)
设M(x1,y1),则
,…(7分)
,
故点M的坐标为
.…(8分)
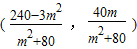
同理,直线QB的方程为
,
代入椭圆方程,得(20+m2)x2-6x+9m2-180=0,
设N(x2,y2),
则
,
.
得点N的坐标为
.…(10分)
①若
时,
直线MN的方程为x=1,与x轴交于(1,0)点;
②若m2≠40,直线MN的方程为
,
令y=0,解得x=1.
综上所述,直线MN必过x轴上的定点(1,0).…(12分)
点评:本题考查椭圆方程的求法,考查直线必过某定点的证明.解题时要认真审题,仔细解答,注意直线与椭圆位置关系的灵活运用.
(2)设Q(9,m),直线QA的方程为y=
解答:解:
故
解得
椭圆C的方程为
(2)设Q(9,m),直线QA的方程为y=
代入椭圆方程,得(80+m2)x2+6x+9m2-720=0,…(6分)
设M(x1,y1),则
故点M的坐标为
同理,直线QB的方程为
代入椭圆方程,得(20+m2)x2-6x+9m2-180=0,
设N(x2,y2),
则
得点N的坐标为
①若
直线MN的方程为x=1,与x轴交于(1,0)点;
②若m2≠40,直线MN的方程为
令y=0,解得x=1.
综上所述,直线MN必过x轴上的定点(1,0).…(12分)
点评:本题考查椭圆方程的求法,考查直线必过某定点的证明.解题时要认真审题,仔细解答,注意直线与椭圆位置关系的灵活运用.
练习册系列答案
相关题目