搜索
题目内容
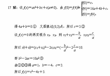
已知二次函数
f
(
x
)满足
f
(0)=
f
(4),且
f
(
x
)=0的两根的平方和为10,
图象过(0,3)点,求
f
(
x
)的解析式.
试题答案
相关练习册答案
练习册系列答案
无敌卷王系列答案
培优100分系列小学总复习小升初必备系列答案
专题讲练3年中考2年模拟系列答案
一飞冲天初中总复习中考专项系列答案
名校调研跟踪测试卷系列答案
好成绩1加1学习导航系列答案
金牌训练系列答案
云南师大附小一线名师提优作业系列答案
数海探究系列答案
快乐练练吧北京交通大学出版社系列答案
相关题目
已知二次函数
f(x)=a
x
2
+bx+
1
2
满足f(1+x)=f(1-x)且方程
f(x)=
5
2
-x
有等根
(1)求f(x)的表达式;
(2)若f(x)在定义域(-1,t]上的值域为(-1,1],求t的取值范围;
(3)是否存在实数m、n(m<n),使f(x)定义域和值域分别为[m,n]和[2m,2n],若存在,求出m、n的值.
已知二次函数
f(x)=a
x
2
+bx+c,函数y=f(x)+
2
3
x-1
的图象过原点且关于y轴对称,记函数
h(x)=
x
f(x)
.
(I)求b,c的值;
(Ⅱ)当
a=
1
10
时,求函数y=h(x)
的单调递减区间;
(Ⅲ)试讨论函数 y=h(x)的图象上垂直于y轴的切线的存在情况.
已知二次函数
f(x)=a
x
2
+bx+1和g(x)=
bx-1
a
2
x+2b
(1)f(x)为偶函数,试判断g(x)的奇偶性;
(2)若方程g(x)=x有两个不相等的实根,当a>0时判断f(x)在(-1,1)上的单调性;
(3)若方程g(x)=x的两实根为x
1
,x
2
f(x)=0的两根为x
3
,x
4
,求使x
3
<x
1
<x
2
<x
4
成立的a的取值范围.
已知二次函数
f(x)=
-
x
2
-x+2
的定义域为A,若对任意的x∈A,不等式x
2
-4x+k≥0成立,则实数k的最小值为
3
3
.
已知二次函数
f(x)=a
x
2
+bx+1和g(x)=
bx-1
a
2
x+2b
(1)f(x)为偶函数,试判断g(x)的奇偶性;
(2)若方程g(x)=x有两个不相等的实根,当a>0时判断f(x)在(-1,1)上的单调性;
(3)当b=2a时,问是否存在x的值,使满足-1≤a≤1且a≠0的任意实数a,不等式f(x)<4恒成立?并说明理由.
关 闭
试题分类
高中
数学
英语
物理
化学
生物
地理
初中
数学
英语
物理
化学
生物
地理
小学
数学
英语
其他
阅读理解答案
已回答习题
未回答习题
题目汇总
试卷汇总
练习册解析答案