题目内容
已知椭圆C:(Ⅰ)求椭圆C的方程;
(Ⅱ)设过点M且斜率不为0的直线交椭圆C于A,B两点.试问x轴上是否存在定点P,使PM平分∠APB?若存在,求出点P的坐标;若不存在,说明理由.
【答案】分析:(Ⅰ)利用离心率为
,可得
,由椭圆短轴的端点是B1,B2,且MB1⊥MB2,可得△MB1B2是等腰直角三角形,由此可求椭圆C的方程;
(Ⅱ)设线AB的方程与椭圆C的方程联立,利用韦达定理,结合PF平分∠APB,则直线PA,PB的倾斜角互补,建立方程,即可求得结论.
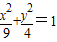
解答:解:(Ⅰ)由
,得
.…(2分)
依题意△MB1B2是等腰直角三角形,从而b=2,故a=3.…(4分)
所以椭圆C的方程是
.…(5分)
(Ⅱ)设A(x1,y1),B(x2,y2),直线AB的方程为x=my+2.
将直线AB的方程与椭圆C的方程联立,消去x得 (4m2+9)y2+16my-20=0.…(7分)
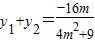
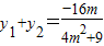
所以
,
.…(8分)
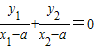
若PF平分∠APB,则直线PA,PB的倾斜角互补,所以kPA+kPB=0.…(9分)
设P(a,0),则有
.
将 x1=my1+2,x2=my2+2代入上式,整理得
,
所以 2my1y2+(2-a)(y1+y2)=0.…(12分)
将
,
代入上式,整理得 (-2a+9)•m=0.…(13分)
由于上式对任意实数m都成立,所以
.
综上,存在定点
,使PM平分∠APB.…(14分)
点评:本题考查椭圆的标准方程,考查直线与椭圆的位置关系,考查韦达定理的运用,考查存在性问题的探究,属于中档题.
(Ⅱ)设线AB的方程与椭圆C的方程联立,利用韦达定理,结合PF平分∠APB,则直线PA,PB的倾斜角互补,建立方程,即可求得结论.
解答:解:(Ⅰ)由
依题意△MB1B2是等腰直角三角形,从而b=2,故a=3.…(4分)
所以椭圆C的方程是
(Ⅱ)设A(x1,y1),B(x2,y2),直线AB的方程为x=my+2.
将直线AB的方程与椭圆C的方程联立,消去x得 (4m2+9)y2+16my-20=0.…(7分)
所以
若PF平分∠APB,则直线PA,PB的倾斜角互补,所以kPA+kPB=0.…(9分)
设P(a,0),则有
将 x1=my1+2,x2=my2+2代入上式,整理得
所以 2my1y2+(2-a)(y1+y2)=0.…(12分)
将
由于上式对任意实数m都成立,所以
综上,存在定点
点评:本题考查椭圆的标准方程,考查直线与椭圆的位置关系,考查韦达定理的运用,考查存在性问题的探究,属于中档题.
练习册系列答案
相关题目