题目内容
已知双曲线
【答案】分析:求出抛物线与双曲线的焦点坐标得到p,c的关系;有两条曲线的对称性得到经过两曲线交点的直线垂直于x轴,利用双曲线方程求出交点坐标代入抛物线方程,得到双曲线的三参数a,b,c的关系,求出离心率.
解答:解:由于抛物线的焦点为(
,0)双曲线的焦点为(c,0)(其中c2=a2+b2),
所以p=2c.
由于双曲线和抛物线的图象都关于x轴对称,故直线PQ垂直于x轴.
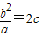
所以交点坐标为(c,
)在抛物线上,即
=2pc=4c2,∴
,
即c2-2ac-a2=0,解得e=
=1+
,
故答案为:1+
.
点评:本题考查抛物线与双曲线的综合,考查抛物线与双曲线的几何性质,确定几何量之间的关系是关键,属于
中档题.
解答:解:由于抛物线的焦点为(
所以p=2c.
由于双曲线和抛物线的图象都关于x轴对称,故直线PQ垂直于x轴.
所以交点坐标为(c,
即c2-2ac-a2=0,解得e=
故答案为:1+
点评:本题考查抛物线与双曲线的综合,考查抛物线与双曲线的几何性质,确定几何量之间的关系是关键,属于
中档题.
练习册系列答案
相关题目