搜索
题目内容
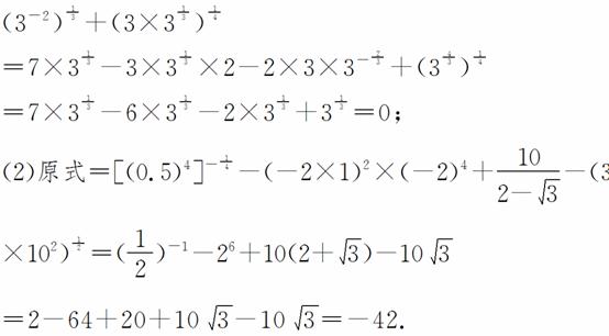
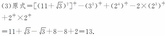
计算
试题答案
相关练习册答案
练习册系列答案
课课通课时作业系列答案
培优提高班系列答案
全优训练单元过关系列答案
夺冠训练单元期末冲刺100分系列答案
新思维小冠军100分作业本系列答案
名师指导一卷通系列答案
期末小状元系列答案
同步学习目标与检测系列答案
师大名卷系列答案
挑战成功学业检测卷系列答案
相关题目
计算:0.75
-1
×(
9
4
)
1
2
+
10
3
-2
+
300
+log
2
8.
计算:
(0.25
)
-2
+
8
2
3
-(
1
16
)
-0.75
=
12
12
.
数列{a
n
}满足S
n
=2n-a
n
(n∈N)
(Ⅰ)计算a
1
,a
2
,a
3
,a
4
;
(Ⅱ)猜想通项公式a
n
,并用数学归纳法证明.
计算下列定积分
∫
0
-
π
2
(x+sinx)dx=
-1-
π
2
8
-1-
π
2
8
.
式子
a
2
a
•
3
a
2
(a>0)
经过计算可得到( )
A.a
B.
1
a
6
C.
5
a
6
D.
6
a
5
关 闭
试题分类
高中
数学
英语
物理
化学
生物
地理
初中
数学
英语
物理
化学
生物
地理
小学
数学
英语
其他
阅读理解答案
已回答习题
未回答习题
题目汇总
试卷汇总
练习册解析答案