题目内容
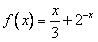
已知定义域为R的单调函数f(x)是奇函数,当x>0时,
。
(1)求f(x)的解析式;
(2)若对任意的t∈R,不等式f(t2-2t)+f(2t2-k)<0恒成立,求实数k的取值范围。
(1)求f(x)的解析式;
(2)若对任意的t∈R,不等式f(t2-2t)+f(2t2-k)<0恒成立,求实数k的取值范围。
解:(1)∵定义域为R的函数f(x)是奇函数,
∴f(0)=0,
当x<0时,-x>0,∴
,
又函数f(x)是奇函数,
∴f(-x)=-f(x),
∴
,
综上所述,
(2)
且f(x)在R上单调,
∴f(x)在R上单调递减,
由
得
,
∵f(x)是奇函数,
∴
,
又∵f(x)是减函数,
∴
,
即
对任意t∈R恒成立,
∴
,解得:
即为所求。
∴f(0)=0,
当x<0时,-x>0,∴
又函数f(x)是奇函数,
∴f(-x)=-f(x),
∴
综上所述,
(2)
∴f(x)在R上单调递减,
由
∵f(x)是奇函数,
∴
又∵f(x)是减函数,
∴
即
∴
练习册系列答案
相关题目