题目内容
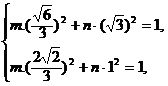
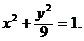
解:设椭圆的方程为mx2+ny2=1(m>0,n>0,m≠n).和点都在椭圆上,所以即解得所以,所求的椭圆的标准方程为
A.=1
B.=1
C.=1
D.=1
已知椭圆经过点,离心率为.
(Ⅰ)求椭圆的方程;
(Ⅱ)过点的直线与椭圆交于不同的两点,,设直线和直线的斜率分别为和,求证:为定值.