题目内容
(本小题满分12分)
已知椭圆的左、右焦点分别为、,离心率,右准线方程为.
(I)求椭圆的标准方程;
(II)过点的直线与该椭圆交于M、N两点,且,求直线的方程.
解析
![]()
将代入椭圆方程得:.
不妨设、,
∴
∴,与题设矛盾.
所以,直线l的斜率存在.设直线l的斜率为k,则直线的方程为.
设、,联立方程组,消y得:
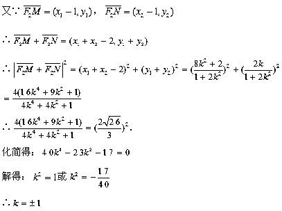
由根与系数的关系知,从而.
![]()
所以,所求直线l的方程为或者.…………………………… 12分
练习册系列答案
相关题目
题目内容
(本小题满分12分)
已知椭圆的左、右焦点分别为、,离心率,右准线方程为.
(I)求椭圆的标准方程;
(II)过点的直线与该椭圆交于M、N两点,且,求直线的方程.
解析
![]()
将代入椭圆方程得:.
不妨设、,
∴
∴,与题设矛盾.
所以,直线l的斜率存在.设直线l的斜率为k,则直线的方程为.
设、,联立方程组,消y得:
由根与系数的关系知,从而.
![]()
所以,所求直线l的方程为或者.…………………………… 12分