题目内容
已知f(x)是二次函数,f′(x)是它的导函数,且对任意的x∈R,f′(x)=f(x+1)+x2恒成立.(I)求f(x)的解析表达式;
(II)求证:当x>1时,
【答案】分析:(I)利用待定系数法,设出函数解析式,根据对任意的x∈R,f′(x)=f(x+1)+x2恒成立,建立方程,即可求得函数解析式;
(II)构造函数g(x)=
,证明函数在g(x)在(1,+∞)上单调递增,由此可证不等式.
解答:(I)解:设f(x)=ax2+bx+c(a≠0),则f′(x)=2ax+b
∵f′(x)=f(x+1)+x2,
∴2ax+b=a(x+1)2+b(x+1)+c+x2,
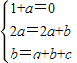
∴2ax+b=(1+a)x2+(2a+b)x+a+b+c
∵对任意的x∈R,f′(x)=f(x+1)+x2恒成立.
∴
∴a=-1,b=0,c=1
∴f(x)=-x2+1;
(II)证明:令g(x)=
=
∴g′(x)=-2x-
+4x2=
∵x>1,∴g′(x)>0
∴g(x)在(1,+∞)上单调递增
∴g(x)>g(1)=0
∴
>0
∴当x>1时,
.
点评:本题考查函数解析式,考查导数知识的运用,考查利用导数证明不等式,解题的关键是构造不等式,证明函数的单调性.
(II)构造函数g(x)=
解答:(I)解:设f(x)=ax2+bx+c(a≠0),则f′(x)=2ax+b
∵f′(x)=f(x+1)+x2,
∴2ax+b=a(x+1)2+b(x+1)+c+x2,
∴2ax+b=(1+a)x2+(2a+b)x+a+b+c
∵对任意的x∈R,f′(x)=f(x+1)+x2恒成立.
∴
∴a=-1,b=0,c=1
∴f(x)=-x2+1;
(II)证明:令g(x)=
∴g′(x)=-2x-
∵x>1,∴g′(x)>0
∴g(x)在(1,+∞)上单调递增
∴g(x)>g(1)=0
∴
∴当x>1时,
点评:本题考查函数解析式,考查导数知识的运用,考查利用导数证明不等式,解题的关键是构造不等式,证明函数的单调性.
练习册系列答案
相关题目